Stable Micro Systems logo
Request a quote
  • Texture analysis
    • Texture Analysers
    • TA.XTplusC
    • TA.XTplus100C
    • TA.HDplusC
    • TA.XTExpressC
    • Compare Texture Analysers
    • Texture Analyser Buying Guide: 7 questions you need to ask
    • Software
    • Upgrades
    • Learn
    • Why measure texture?
    • How a Texture Analyser works
    • A beginner’s guide
    • What is food texture?
    • Texture Profile Analysis (TPA)
    • Texture analysis properties
    • Application areas
    • Speed up your testing
    • Case Studies
    • Attachments and accessories
    • Probes
    • Attachments
    • Acoustic Envelope Detector
    • Video Capture and Synchronisation System
    • Automated Linear Indexing System
    • Temperature Control
    • Dough Inflation System
    • Dynamic Integrated Balance
    • Penetrometer
    • IDDSI System
    • Egg Quality Testing System
    • Accessories
    • Custom design service
    • Test types
    • Puncture and penetration
    • Compression
    • Cutting and shearing
    • Extrusion
    • Bend and flexure
    • Tension
    • Adhesion
    • Other test types
    • Applications
    • Food
      • Alternative proteins
      • Bakery
      • Cereals
      • Confectionery
      • Dairy
      • Gels and films
      • Fish
      • Fruit and vegetables
      • Meat
      • Pasta and noodles
      • Snacks
      • Petfood and animal feed
      • Powder and granules
    • Future and novel foods
      • 3D printed foods
      • Cell cultured foods
      • Foods containing CBD
      • Foods containing insects
      • Upcycled food
      • Vertically farmed foods
    • Reformulated foods
      • Free-from foods
      • Fortified foods
      • Low-in foods
      • Foods for dysphagia (IDDSI)
    • Materials and products
      • Adhesives
      • Electronics
      • Packaging
      • Gels and films
      • Innovative materials
      • Leather and textiles
      • Paper and cardboard
      • Polymers
      • Powder and granules
    • Pharmaceutical and medical
      • Dental
      • Medical devices
      • Pharmaceutical and medical
      • Pharmaceutical packaging
    • Cosmetics and personal care
      • Cosmetics and skincare
      • Personal care products
      • Hair and haircare products
    • Powders and granules
    • View all
  • Materials testing
    • Materials Testers
    • TA.HDplusC
    • TA.XTplus100C
    • Compare Materials Testers
    • Upgrades
    • Learn
    • What is materials testing?
    • Force testing
    • Materials testing properties
    • Application areas
    • Software
    • Case Studies
    • Attachments and accessories
    • Probes
    • Attachments
    • Acoustic Envelope Detector
    • Video Capture and Synchronisation System
    • Automated Linear Indexing System
    • Temperature Control
    • Dynamic Integrated Balance
    • Penetrometer
    • Resistance Conversion Unit
    • Accessories
    • Custom design service
    • Test types
    • Puncture and penetration
    • Compression
    • Cutting and shearing
    • Extrusion
    • Bend and flexure
    • Tension
    • Adhesion
    • Other test types
    • Applications
    • Materials and products
      • Adhesives
      • Electronics
      • Packaging
      • Gels and films
      • Innovative materials
      • Leather and textiles
      • Paper and cardboard
      • Polymers
      • Powder and granules
    • Pharmaceutical and medical
      • Dental
      • Medical devices
      • Pharmaceutical and medical
      • Pharmaceutical packaging
    • Cosmetics and personal care
      • Cosmetics and skincare
      • Personal care products
      • Hair and hair products
    • View all
  • Volume and density
    • Volscan Profiler
    • Volscan Profiler instrument
    • How the Volscan Profiler works
    • Measuring volume and density
    • Software
    • Technical specification
    • Accessories
    • Case Studies
    • Applications
    • Bakery
    • Eggs
    • Other foods
    • Materials
    • Hair
    • Ceramscan
    • Ceramscan instrument
    • How the Ceramscan works
    • Measuring ceramic density
    • Ceramic and advanced material tests
    • Software
    • Technical specification
    • Ceramscan Validation
  • Powder flow
    • Products
    • Powder Flow Analyser
    • TA.XTplusC Texture Analyser
    • Learn
    • How the Powder Flow Analyser Works
    • Why measure powder flow?
    • Typical powder flow problems
    • Vessel material options
    • Software
    • Technical specification
    • Powder examples
    • Powder flow instrument comparison
    • Case studies
    • Test types
    • What problem, what test?
    • Cohesion
    • Cohesion at 4 speeds
    • Caking
    • Powder Flow Speed Dependence
    • Compressibility
    • Consolidation and caking
    • Complementary powder tests
    • Understanding your powder flow test results
    • Applications
    • Food ingredients and blends
    • Pharmaceuticals / nutraceuticals
    • Cosmetics and personal care
    • Agriculture
    • Chemicals, additives and industrial
    • Batteries and advanced materials
    • 3D printing
  • Applications
    • Food
    • Alternative proteins
    • Bakery
    • Cereals
    • Confectionery
    • Dairy
    • Gels and films
    • Fish
    • Fruit and vegetables
    • Meat
    • Pasta and noodles
    • Snacks
    • Petfood and animal feed
    • Powder and granules
    • Future and novel foods
    • 3D printed foods
    • Cell cultured foods
    • Foods containing CBD
    • Foods containing insects
    • Upcycled food
    • Vertically farmed foods
    • Reformulated foods
    • Free-from foods
    • Fortified foods
    • Low-in foods
    • Foods for dysphagia (IDDSI)
    • Materials and products
    • Adhesives
    • Electronics
    • Packaging
    • Gels and films
    • Innovative materials
    • Leather and textiles
    • Paper and cardboard
    • Polymers
    • Powder and granules
    • Pharmaceutical and medical
    • Dental
    • Medical devices
    • Pharmaceutical and medical
    • Pharmaceutical packaging
    • Cosmetics and personal care
    • Cosmetics and skincare
    • Personal care products
    • Hair and haircare products
  • Discover
    • Resources
    • Blog
    • Request a brochure
    • Request an article
    • Published references
    • Recommended literature
    • YouTube channel
    • Subscribe to our newsletter
    • FAQs
    • Case studies
    • Food
    • Materials
    • Pharmaceutical and medical
    • Cosmetics, skincare and haircare
    • Volume and density
    • Powder flow
    • About us
    • Company profile
    • Why we are world leaders
    • Careers
    • News
  • Support
    • General
    • Software updates
    • Register a product
    • FAQs
    • Correct use of TPA
    • Glossary
    • User support
    • Technical support form
    • Test advice service
    • Macro writing service
    • Get a new manual
    • Education Zone
    • Tips for Exponent Connect users
    • Training courses
    • Contact your local distributor
    • Product maintenance
    • Calibration
    • Upgrade your instrument
    • UK maintenance plan
    • Latest news
    • Products
    • Research
    • Patents
    • Texture
    • Subscribe to our newsletter
  • Contact
    • Contact details
    • Find a distributor
    • Request a demonstration
    • Request a quote
    • Events and seminars
Request a quote

Compressibility

How powder beds pack, settle and recover under load – and what that means for filling, storage and tablet pressing.

What is powder compressibility? How the Compressibility test works Understanding the measured parameters When is a compressibility test most useful? What to test next based on your Compressibility results Sample data and its interpretation Test guidance How the Compressibility test compares with other powder flow tests FAQs
Broken tablet in blister pack

What is powder compressibility?

Compressibility describes how much a powder bed reduces in height when a normal load is applied, reflecting how readily particles rearrange, deform, or pack more efficiently under stress. Powders that compress easily tend to be packing- and consolidation-sensitive, while powders that resist compression are often already close-packed and mechanically stable.

The Powder Flow Analyser (PFA) measures compressibility under defined, controlled normal stresses, generating a compressibility-versus-stress profile rather than a single-point value. This provides insight into how a powder will behave during filling, handling, storage, and restart, where applied stresses vary.

A powder that is already close-packed will show little change in bed height as stress increases, resulting in low compressibility. A powder that is cohesive, irregular, or loosely packed will typically show a larger reduction in bed height with increasing stress.

Changes in slope across the stress range can indicate stress-dependent rearrangement, where the powder transitions from loose packing to a more mechanically stable structure. These behaviours are often linked to handling sensitivity, density drift, and restart problems after storage. This makes compressibility particularly relevant in processes where applied stresses vary across the powder bed" is already there; adding "including die filling, capsule packing, bin and IBC storage, and transport.

Compressibility is particularly relevant for processes involving:

  • filling and dosing
  • tablet and capsule filling
  • storage in bins, hoppers, or intermediate bulk containers
  • transport and vibration

Compressibility testing answers the question:

"How does the powder bed pack, deform, and recover when normal loads are applied?"

How the Compressibility test works

Sample prepared with blade Sample prepared with blade
The blade is then swapped for a compression probe which applies increasing levels of compression The blade is then swapped for a compression probe which applies increasing levels of compression

After conditioning the powder column using the PFA blade, the blade is replaced with a compression probe in a split vessel. Using a split vessel excess powder (after conditioning) is discarded and leaves behind a specified volume. The split vessel adds an extra benefit of a flat pre-compression surface once the extra powder has been discarded and the ability of the PFA to measure weight allows the automatic calculation of bulk density.

The probe descends until it contacts the powder surface, at which point the initial column height is recorded and the conditioned bulk density is calculated.

The probe then applies increasing normal force to the powder bed (to 5kg). As load increases, the reduction in column height is measured and expressed as percentage compressibility at defined stresses. This produces a stress-dependent compaction profile, rather than a single bulk/tapped density comparison. At the target force the probe remains at the same distance which is held for 120 seconds. The force will be seen to decrease as the powder relaxes away from the probe. After 120s the probe is unloaded and elastic recovery can be measured.

Holes in the compression probe allow entrained air to escape during compression, ensuring that the measured response reflects particle rearrangement and deformation, not trapped air effects.

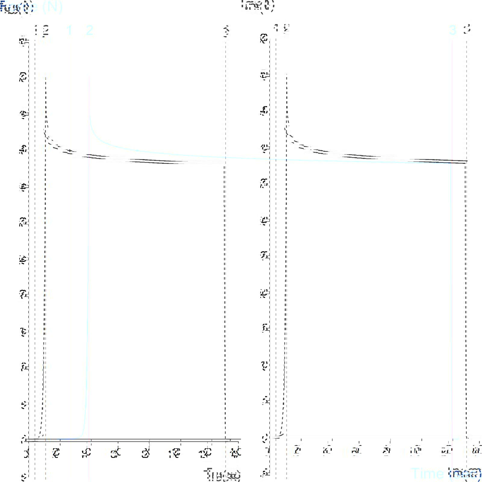
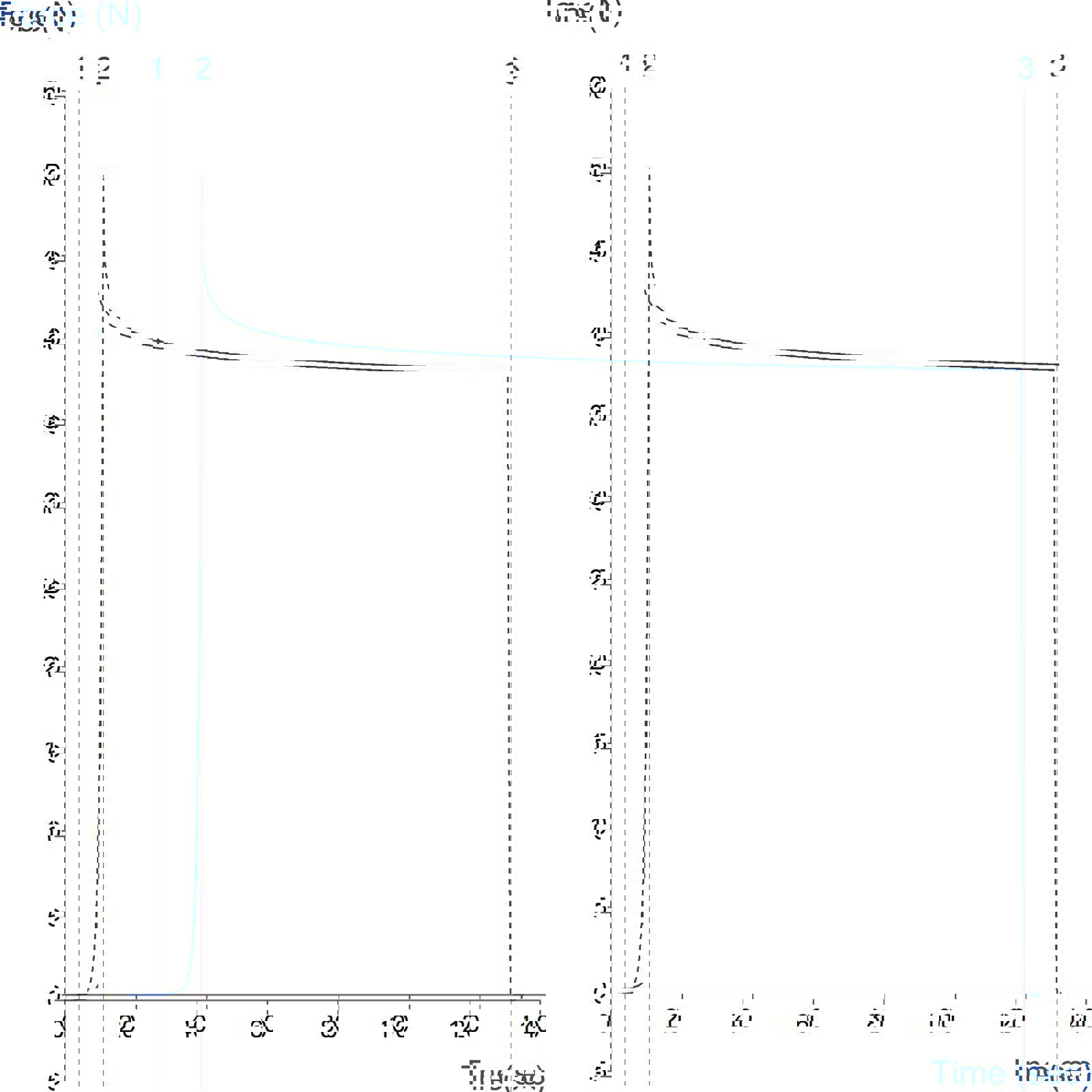
Typical graph for powder compressibility
Typical graph for powder compressibility

Measured parameters

  • Compressibility (%) – reduction in powder bed height under applied load
  • Stiffness (MPa) – resistance of the powder bed to deformation
  • Relaxation (%)  – degree of stress decay after load application
  • Elastic Recovery (%) – extent of rebound after unloading
  • Conditioned Bulk Density (g/ml) – bulk density after controlled preparation (split vessel)
Interpretation of the graph profile
Open

A number of measurements can be made from the resultant graph if it is split into three sections – loading, hold and unloading.

Powder – Compressibilty 01
Loading – Bulk Density curve
Powder – Compressibilty 02
Bulk Density explanation

The bulk density of a powder is defined as the ratio between its mass and the volume it occupies. In this case, the mass is input by the user at the beginning of the test and the volume is that of the cylinder of powder:

Compressibility Powder Flow Diagram

The loading section of the force-distance graph gives a useful measure of the compressibility of the powder. Once the probe initially reaches the surface of the powder and registers a force of 10g, the “initial bulk density” is recorded.  The probe continues to push on the powder until it reaches a force of 5000g. The more compressible the powder, the further the probe will travel during this time. Here, “compressibility” is defined as the ratio between the final and initial bulk densities:

Compressibility formula

In general, a more free flowing powder is less compressible (as the powder particles have already flowed into a more close-packed state). This corresponds to a small increase in bulk density with stress and a low compressibility. A more cohesive powder tends to show the opposite behaviour and a high compressibility.

Hold Period – Relaxation

The stress relaxation section of the force-time curve characterises the viscoelastic (time-dependent) behaviour of the powder sample as compacted material undergoes plastic deformation and moves into void spaces. This will vary with factors such as the shape and size of powder particles, the type of material and the addition of lubricant. The more viscoelastic the powder, the less spring-like the powder and the more the force will drop during this hold period. The force usually drops off quickly at first then tends towards a plateau.

The stress relaxation is a percentage value, given by the ratio between the force after a 120 second hold and the high force at the beginning of the hold period.

Relaxation formula

The ratio of the final and initial forces is equal to that between the final and initial stress values as the cross-sectional area remains constant.

Powder – Compressibilty 04

Unloading – Elastic Recovery

The final part of the curve is the unloading section, which corresponds to the elastic recovery of the sample. The loading period involves both elastic and plastic deformation, the hold period is generally purely plastic, and the unloading period is generally purely elastic.

The initial unloading slope is a measure of the stiffness of the compact. If the force is divided by probe area and the change in distance divided by the compressed compact height, giving stress and strain, the stiffness can be measured in Pascals:

Stiffness formula
Powder – Compressibilty 03

Lastly, the elastic strain recovery can be calculated by:

Elastic recovery formula

where h1 is the relaxed column height (once the load has been removed) and h2 is the fully compressed column height.

Understanding the measured parameters

% Compressibility – what it means
Open

Degree of volume reduction under applied load.

% Compressibility behaviour What it indicates Likely implications in processing
Low Powder resists densification; particles already efficiently packed Stable filling and dosing; minimal density drift; lower risk of consolidation-related restart issues
Moderate Some particle rearrangement under load Sensitivity to handling and vibration; density may change during transport or filling
High Strong packing and rearrangement under load High consolidation sensitivity; fill weight drift; increased risk of set-up during storage and restart difficulty
Stiffness – what it means
Open

Resistance of the powder bed to mechanical deformation.

Stiffness What it indicates Likely implications in processing
Low Powder bed deforms easily under load Sensitive to applied stresses; potential variability during filling or compaction
High Powder bed resists deformation More mechanically stable packing; predictable response under load
% Relaxation – what it means
Open

Time-dependent rearrangement of powder structure under sustained load.

Relaxation behaviour

What it indicates

Likely implications in processing

High

Structure rearranges and stress dissipates with time

Time-dependent density changes; handling history becomes important

Low

Stress retained in the powder bed

Stored stress may contribute to instability after unloading or during restart

% Elastic Recovery – what it means
Open

Amount of rebound after unloading - relevant to die fill and capsule filling.

Elastic Recovery

What it indicates

Likely implications in processing

High

Powder rebounds significantly after load removal

Dimensional variability; die fill or ejection issues in compaction processes

Low

Minimal rebound after unloading

Stable packing and geometry after compaction

Bulk Density – what it means
Open

Bulk Density behaviour

What it indicates

Likely implications in processing

Low

Inefficient packing; high voidage

Larger pack volumes; higher fill variability if packing changes

Moderate, consistent

Repeatable packing under controlled preparation

Reliable filling and QC trending

High

Efficient packing with little void space

Smaller packs possible; increased consolidation sensitivity may occur

Variable between samples

Handling-sensitive packing behaviour

Density drift, feeder instability, batch-to-batch variation

When is a compressibility test most useful?

A compressibility test is most useful when packing, settling, or density changes are causing filling inconsistency, storage set-up, or formulation challenges. It characterises how a powder bed densifies under applied load and how it relaxes and recovers when the load is removed. This makes it especially valuable for tablet and capsule filling, packing behaviour assessment, and understanding consolidation sensitivity that is not always captured by traditional bulk and tapped density measurements.

What to test next based on your Compressibility results

The compressibility test identifies how a powder responds to normal stress and consolidation. The most useful follow-up tests depend on how readily the powder densifies and how that structure behaves during rest and motion.

Low compressibility
Open

Typical behaviour:

Powder shows minimal change in bulk density under load.

Likely risks:

  • Flow problems are unlikely to be driven by packing or consolidation.
  • Issues may relate to cohesion or speed-dependent behaviour.

Recommended next tests:

  • Cohesion – to assess resistance during movement
  • PFSD – if behaviour varies with operating speed
Moderate compressibility
Open

Typical behaviour:

Powder densifies gradually as stress increases.

Likely risks:

  • Fill mass variability
  • Sensitivity to handling and transport
  • Increased restart resistance after rest

Recommended next tests:

  • Caking – to assess strength development during storage
  • Cohesion – to understand resistance once motion begins
High or rapid compressibility
Open

Typical behaviour:

Powder packs strongly even under low stress.

Likely risks:

  • Significant consolidation during storage
  • Increased risk of caking and arching
  • Poor restart behaviour

Recommended next tests:

  • Caking – to evaluate time-dependent strengthening
  • Cohesion – to determine whether consolidation increases flow resistance

In these cases, compressibility often underpins both caking and cohesion problems.

Why compressibility should not be used alone
Open

Compressibility explains how structure forms under load, but not how that structure behaves during flow. Combining compressibility with cohesion, caking, and PFSD provides a complete picture of powder behaviour.

Sample data and its interpretation

Compressibility test - comparison of flour and sugar
Compressibility test – comparison of flour and sugar
Tabulated data and its meaning
Open
   Flour Caster sugar What this tells us 
Bulk Density (g/ml) – Mass / volume 0.61 0.89 Flour packs inefficiently and traps air; caster sugar packs efficiently and densely
Compressibility (%) – Compression parameter 24.3 3.53 Flour rearranges and consolidates strongly under load; caster sugar is already close-packed
Relaxation (%) – Force hold ratio 86.8 32.4 Flour continues to rearrange with time under load; caster sugar stabilises quickly
Stiffness (MPa) – Unload gradient 2.43 3.01 Flour bed is more compliant; caster sugar forms a more rigid load-bearing structure
Elastic recovery (%) – Unload strain 1.18 0.39 Flour rebounds more after unloading; caster sugar retains its compacted structure

 

Charts
Open
Compressibility test – Comparison of Elastic Recovery for flour and caster sugar Compressibility test – Comparison of Elastic Recovery for flour and caster sugar
Compressibility test – Comparison of Bulk Density for flour and caster sugar Compressibility test – Comparison of Bulk Density for flour and caster sugar
Compressibility test – Comparison of Compressibility and Relaxation for flour and caster sugar Compressibility test – Comparison of Compressibility and Relaxation for flour and caster sugar
Compressibility test – Comparison of Stiffness for flour and caster sugar Compressibility test – Comparison of Stiffness for flour and caster sugar
Interpreting each material in context
Open

Flour

Highly packing- and consolidation-sensitive.

What the numbers say

  • Low bulk density (0.61 g/ml) indicates a loose, aerated initial structure.
  • High compressibility (24.3%) shows that particles readily rearrange and densify when load is applied.
  • Very high relaxation (86.8%) indicates time-dependent restructuring – the powder continues to change while under load.
  • Lower stiffness reflects a compliant powder bed that deforms easily.
  • Higher elastic recovery means the bed partially rebounds when the load is removed.

Expected behaviour in practice

  • Significant density drift during handling, filling, and transport.
  • Sensitivity to storage and vibration, even under modest loads.
  • Restart and refill behaviour may change over time, even without hard caking.
  • Performance is handling-history dependent – how the powder has been treated matters as much as formulation.

What this explains

Flour often:

  • Fills inconsistently,
  • Settles during transport,
  • Behaves differently after rest,
  • And shows process variability even when “flow seems OK”.

These compressibility results explain why flour is prone to consolidation-driven problems rather than classic flow blockage.

Caster sugar

Dense, mechanically stable, low consolidation risk.

What the numbers say

  • High bulk density (0.89 g/ml) indicates efficient initial packing.
  • Very low compressibility (3.53%) shows little rearrangement under load.
  • Low relaxation (32.4%) means the structure stabilises quickly.
  • Higher stiffness reflects a rigid, load-bearing bed.
  • Very low elastic recovery indicates the powder largely retains its compacted state.

Expected behaviour in practice

  • Stable filling and dosing with minimal density drift.
  • Low sensitivity to handling history or storage under load.
  • Restart issues are unlikely to be consolidation-driven.
  • If problems occur, they are more likely due to geometry or structural effects (e.g. arching), not packing.

What this explains

Caster sugar generally:

  • behaves predictably during filling,
  • maintains consistent bulk density,
  • and shows robust handling performance across processes.

Direct comparison: why these differences make sense

Behaviour

Flour

Caster sugar

Particle shape and size

Fine, irregular, often cohesive

Crystalline, granular

Initial packing

Loose, aerated

Dense, efficient

Response to load

Rearranges and densifies strongly

Minimal rearrangement

Time dependence

Strong (high relaxation)

Weak (quick stabilisation)

Risk profile

Density drift, consolidation sensitivity

Geometry-driven issues if any

Key processing implications

  • Flour
    • Compressibility explains why flow tests alone often underpredict real process issues.
    • Consolidation, not cohesion, is the dominant risk mechanism.
    • Should be cross-referenced with Caking / Consolidation and Cohesion at low speed for restart risk.
  • Caster sugar
    • Compressibility confirms it is mechanically robust.
    • If discharge problems occur, investigate Bridging Factor and geometry, not packing behaviour.
    • Compressibility is unlikely to be the limiting factor in most processes.

Test guidance

  • Compressibility describes how a powder packs under load, not how it flows or discharges.
  • High compressibility does not automatically mean poor flow, but it does signal consolidation and density drift risk.
  • Compressibility results should be interpreted alongside:
    • Cohesion / Bridging Factor (flow initiation and failure mode)
    • Caking / Consolidation tests (time-dependent set-up)
    • PFSD (handling and speed sensitivity)

No single parameter describes powder behaviour. Compressibility helps explain packing and stress response, not flowability alone.

How Compressibility should be used (decision guidance)
Open

Compressibility is most useful when:

  • Investigating fill weight variation
  • Comparing formulations or suppliers
  • Understanding consolidation during storage or transport
  • Supporting tablet or capsule filling optimisation
  • Explaining density drift during handling

Compressibility should NOT be used alone when:

  • Diagnosing arching or ratholing – use Cohesion / Bridging Factor
  • Investigating throughput or scale-up effects – use PFSD
  • Assessing storage set-up strength – use Caking / Consolidation
  • Measuring product or agglomerate strength – use Texture Analysis strength tests
Why this is not Carr’s Index
Open

Carr’s Index is calculated from the difference between bulk density and tapped density, representing a single compaction event:

While useful for compendial or legacy reporting, Carr’s Index provides no information about how compressibility evolves with applied stress.

In contrast, the PFA compressibility test:

  • Applies defined normal stresses
  • Measures continuous bed height reduction
  • Produces a compressibility-versus-stress profile

Rule of thumb:

  • Use Carr’s Index when direct comparison to pharmacopeial or legacy methods is required.
  • Use PFA compressibility when understanding process-relevant packing, consolidation, and density drift is the goal.

How the Compressibility test compares with other powder flow tests

Compressibility vs Cohesion

  • Compressibility measures how structure forms under load.
  • Cohesion measures resistance to movement once that structure is disturbed.

Why this matters:

Highly compressible powders often show increased cohesion after rest, but cohesion testing is required to quantify flow resistance.

Compressibility vs Caking

  • Compressibility describes packing behaviour.
  • Caking describes whether that packed structure becomes mechanically strong over time.

Why this matters:

A powder may compress readily but still break apart easily - or compress and then cake severely. Both tests are needed to assess storage risk.

Compressibility vs PFSD

  • Compressibility focuses on static loading.
  • PFSD focuses on dynamic response at different speeds.

Why this matters:

Packing behaviour alone cannot predict whether resistance will increase or decrease with speed.

FAQs

What does the compressibility test measure?
Open

The compressibility test measures how a powder’s bulk density changes when subjected to increasing normal stress. It quantifies how readily a powder packs, settles, or densifies under load.

Is compressibility the same as bulk density?
Open

No. Bulk density is a single-point measurement. Compressibility describes how bulk density changes with applied stress, providing insight into structural rearrangement and packing sensitivity.

Why does compressibility matter in processing?
Open

Highly compressible powders can settle, compact, and densify during storage or handling. This can affect fill consistency, dosing accuracy, restart behaviour, and the likelihood of caking or arching.

Does high compressibility always mean poor flow?
Open

Not necessarily. Some compressible powders flow well once moving but are sensitive to consolidation during rest. Compressibility should be interpreted alongside cohesion and caking results.

Is compressibility suitable for quality control?
Open

Yes. Compressibility testing is useful for QC when packing behaviour, fill mass consistency, or sensitivity to handling and transport is critical.

See more powder flow test types
  • What is powder compressibility?
  • How the Compressibility test works
  • Understanding the measured parameters
  • When is a compressibility test most useful?
  • What to test next based on your Compressibility results
  • Sample data and its interpretation
  • Test guidance
  • How the Compressibility test compares with other powder flow tests
  • FAQs

MORE INFORMATION

Request brochures about testing powders and granules

Request brochures about testing powders and granules

Request an article about measuring powder and granule properties

Request an article about measuring powder and granule properties

Learn more about testing powder and granules

Learn more about testing powder and granules

Learn more about testing and analysing powder

Request a powder flow demonstration
Read powder flow case studies
Get test advice for your powder
Home
  • Contact
  • Send us an enquiry
  • Request a quote
  • Request a demonstration
  • Find a distributor
Head office

+44 (0) 1483 427345
Vienna Court, Lammas Road
Godalming, Surrey, GU7 1YL
United Kingdom

Subscribe to our newsletter
  • LinkedIn
  • YouTube
  • X (formerly Twitter)
  • Facebook
Copyright © 2026 Stable Micro Systems. All rights reserved. Privacy and cookie policy Sitemap