Stable Micro Systems logo
Request a quote
  • Texture analysis
    • Texture Analysers
    • TA.XTplusC
    • TA.XTplus100C
    • TA.HDplusC
    • TA.XTExpressC
    • Compare Texture Analysers
    • Texture Analyser Buying Guide: 7 questions you need to ask
    • Software
    • Upgrades
    • Learn
    • Why measure texture?
    • How a Texture Analyser works
    • A beginner’s guide
    • What is food texture?
    • Texture Profile Analysis (TPA)
    • Texture analysis properties
    • Application areas
    • Speed up your testing
    • Case Studies
    • Attachments and accessories
    • Probes
    • Attachments
    • Acoustic Envelope Detector
    • Video Capture and Synchronisation System
    • Automated Linear Indexing System
    • Temperature Control
    • Dough Inflation System
    • Dynamic Integrated Balance
    • Penetrometer
    • IDDSI System
    • Egg Quality Testing System
    • Accessories
    • Custom design service
    • Test types
    • Puncture and penetration
    • Compression
    • Cutting and shearing
    • Extrusion
    • Bend and flexure
    • Tension
    • Adhesion
    • Other test types
    • Applications
    • Food
      • Alternative proteins
      • Bakery
      • Cereals
      • Confectionery
      • Dairy
      • Gels and films
      • Fish
      • Fruit and vegetables
      • Meat
      • Pasta and noodles
      • Snacks
      • Petfood and animal feed
      • Powder and granules
    • Future and novel foods
      • 3D printed foods
      • Cell cultured foods
      • Foods containing CBD
      • Foods containing insects
      • Upcycled food
      • Vertically farmed foods
    • Reformulated foods
      • Free-from foods
      • Fortified foods
      • Low-in foods
      • Foods for dysphagia (IDDSI)
    • Materials and products
      • Adhesives
      • Electronics
      • Packaging
      • Gels and films
      • Innovative materials
      • Leather and textiles
      • Paper and cardboard
      • Polymers
      • Powder and granules
    • Pharmaceutical and medical
      • Dental
      • Medical devices
      • Pharmaceutical and medical
      • Pharmaceutical packaging
    • Cosmetics and personal care
      • Cosmetics and skincare
      • Personal care products
      • Hair and haircare products
    • Powders and granules
    • View all
  • Materials testing
    • Materials Testers
    • TA.HDplusC
    • TA.XTplus100C
    • Compare Materials Testers
    • Upgrades
    • Learn
    • What is materials testing?
    • Force testing
    • Materials testing properties
    • Application areas
    • Software
    • Case Studies
    • Attachments and accessories
    • Probes
    • Attachments
    • Acoustic Envelope Detector
    • Video Capture and Synchronisation System
    • Automated Linear Indexing System
    • Temperature Control
    • Dynamic Integrated Balance
    • Penetrometer
    • Resistance Conversion Unit
    • Accessories
    • Custom design service
    • Test types
    • Puncture and penetration
    • Compression
    • Cutting and shearing
    • Extrusion
    • Bend and flexure
    • Tension
    • Adhesion
    • Other test types
    • Applications
    • Materials and products
      • Adhesives
      • Electronics
      • Packaging
      • Gels and films
      • Innovative materials
      • Leather and textiles
      • Paper and cardboard
      • Polymers
      • Powder and granules
    • Pharmaceutical and medical
      • Dental
      • Medical devices
      • Pharmaceutical and medical
      • Pharmaceutical packaging
    • Cosmetics and personal care
      • Cosmetics and skincare
      • Personal care products
      • Hair and hair products
    • View all
  • Volume and density
    • Volscan Profiler
    • Volscan Profiler instrument
    • How the Volscan Profiler works
    • Measuring volume and density
    • Software
    • Technical specification
    • Accessories
    • Case Studies
    • Applications
    • Bakery
    • Eggs
    • Other foods
    • Materials
    • Hair
    • Ceramscan
    • Ceramscan instrument
    • How the Ceramscan works
    • Measuring ceramic density
    • Ceramic and advanced material tests
    • Software
    • Technical specification
    • Ceramscan Validation
  • Powder flow
    • Products
    • Powder Flow Analyser
    • TA.XTplusC Texture Analyser
    • Learn
    • How a PFA Works
    • Why measure powder flow?
    • Other powder related tests
    • Software
    • Technical specification
    • Industry examples
    • Case studies
  • Applications
    • Food
    • Alternative proteins
    • Bakery
    • Cereals
    • Confectionery
    • Dairy
    • Gels and films
    • Fish
    • Fruit and vegetables
    • Meat
    • Pasta and noodles
    • Snacks
    • Petfood and animal feed
    • Powder and granules
    • Future and novel foods
    • 3D printed foods
    • Cell cultured foods
    • Foods containing CBD
    • Foods containing insects
    • Upcycled food
    • Vertically farmed foods
    • Reformulated foods
    • Free-from foods
    • Fortified foods
    • Low-in foods
    • Foods for dysphagia (IDDSI)
    • Materials and products
    • Adhesives
    • Electronics
    • Packaging
    • Gels and films
    • Innovative materials
    • Leather and textiles
    • Paper and cardboard
    • Polymers
    • Powder and granules
    • Pharmaceutical and medical
    • Dental
    • Medical devices
    • Pharmaceutical and medical
    • Pharmaceutical packaging
    • Cosmetics and personal care
    • Cosmetics and skincare
    • Personal care products
    • Hair and haircare products
  • Discover
    • Resources
    • Blog
    • Request a brochure
    • Request an article
    • Published references
    • Recommended literature
    • YouTube channel
    • Subscribe to our newsletter
    • FAQs
    • Case studies
    • Food
    • Materials
    • Pharmaceutical and medical
    • Cosmetics, skincare and haircare
    • Volume and density
    • Powder flow
    • About us
    • Company profile
    • Why we are world leaders
    • Careers
    • News
  • Support
    • General
    • Software updates
    • Register a product
    • FAQs
    • Correct use of TPA
    • Glossary
    • User support
    • Technical support form
    • Test advice service
    • Macro writing service
    • Get a new manual
    • Education Zone
    • Tips for Exponent Connect users
    • Training courses
    • Contact your local distributor
    • Product maintenance
    • Calibration
    • Upgrade your instrument
    • UK maintenance plan
    • Latest news
    • Products
    • Research
    • Patents
    • Texture
    • Subscribe to our newsletter
  • Contact
    • Contact details
    • Find a distributor
    • Request a demonstration
    • Request a quote
    • Events and seminars
Request a quote

How to measure gel strength

Gel strength: definition and importance Further example applications of gel strength testing Typical probe/attachment used for measurement Typical graphs How to interpret the Texture Analyser graph Key factors affecting gel strength measurement Optimising gel strength measurement and analysis: The Stable Micro Systems advantage
Spoon penetrating edible jelly

Gel strength: definition and importance

Gel Strength refers to the ability of a gel to form and retain a gel structure and resist deformation under stress. It is a measure of the firmness or structural integrity of a gel and is often tested to assess its mechanical stability and performance. In various industries, including food, pharmaceuticals, and cosmetics, gel strength is critical for ensuring the desired texture, functionality, and quality of products such as gelatine desserts, pharmaceutical capsules, or cosmetic gels. The properties of gels, including elasticity and rupture force, are essential for products such as coronary stents, wound dressings, and soft gel capsules, as well as cosmetics like creams and pastilles.

In the gelatine industry, gel strength is commonly measured as Bloom, which represents the force (in grams) needed to depress the surface of a gelatine gel by 4mm using a standard 0.5" ⌀ Cylinder Probe.

Further example applications of gel strength testing

Gel strength measurement using a Texture Analyser is vital for assessing the mechanical properties of gels across various industries, including food processing, pharmaceuticals, and cosmetics. Below are key applications:

  • Jelly and gelatine firmness testing: The gel strength of a gelatine dessert determines its firmness and mouthfeel. A higher gel strengthproduces a firmer, more solid dessert, while a lower gel strength results in a softer, more wobbly texture. The gel strength in pectin-based jellies or jams affects the spreadability and structural integrity of the product. Stronger gels maintain their shape better, while weaker gels spread more easily. Gel strength is crucial in the production of gummy candies, where a balance between chewiness and firmness is required. Stronger gels provide a more substantial chew, while weaker gels result in softer, more delicate candies.
  • Pharmaceutical gel/cream consistency analysis: Assessing the gel strength and consistency of pharmaceutical topical gels by measuring the force required to deform the gel. The gel strength of topical treatments like ointments or medical gels affects their ability to hold their shape and stay on the skin. Gels with lower strength may spread more easily, while stronger gels may stay in place longer.
  • Cosmetic gel texture testing: The strength of hair gels affects their ability to hold hair in place. High-strength gels provide firmer hold, while low-strength gels allow for more flexible styling. Gel strength in skin care products can influence how the product spreads on the skin and its ability to stay in place without running or dripping.
  • Food emulsion gel analysis: Testing the gel strength of emulsions and thickened food products, like sauces, by measuring the force needed to deform them.
  • Dental gel strength evaluation: Measuring the gel strength of dental impression materials and adhesives by evaluating the force required to penetrate or deform the gel.
  • Pharmaceutical capsule gel strength testing: Assessing the gel strength of soft gel pharmaceutical capsules by measuring the force required to rupture them and release their contents. The strength of gel capsules is important for maintaining the integrity of the medication during storage and consumption. Capsules with higher gel strength are more resistant to breaking or leaking.
  • Hydrogel strength analysis: Evaluating the mechanical properties of hydrogels used in medical applications, such as wound dressings, by measuring the force needed to compress or deform them.
  • Agar gel strength measurement: Testing the gel strength of agar gels used in microbiological applications by measuring the force required to puncture them.
  • Biopolymer gel strength analysis: Evaluating the gel strength of biopolymer gels used in tissue engineering by measuring the force required to deform the gel scaffold.

In these examples, a Texture Analyser applies controlled forces/distances to measure gel strength, ensuring product quality, consistency, and performance across industries like food, pharmaceuticals, and cosmetics.

Typical probe/attachment used for measurement

In a typical gel strength test, a cylindrical probe is used to penetrate the gel at a constant speed. The gel strength is typically reported as the peak force required to depress the gel by a specific distance.

Gel Strength test video with synchronised data collection

1/2" Ø Cylinder Probe with radius

Spoon penetrating edible jelly
Half inch Cylinder Probe with radius

Cylinder Probes

Person picking up a sweet from a bowl of sweets
Compression test on a gummy bear using a 25mm Cylinder Probe

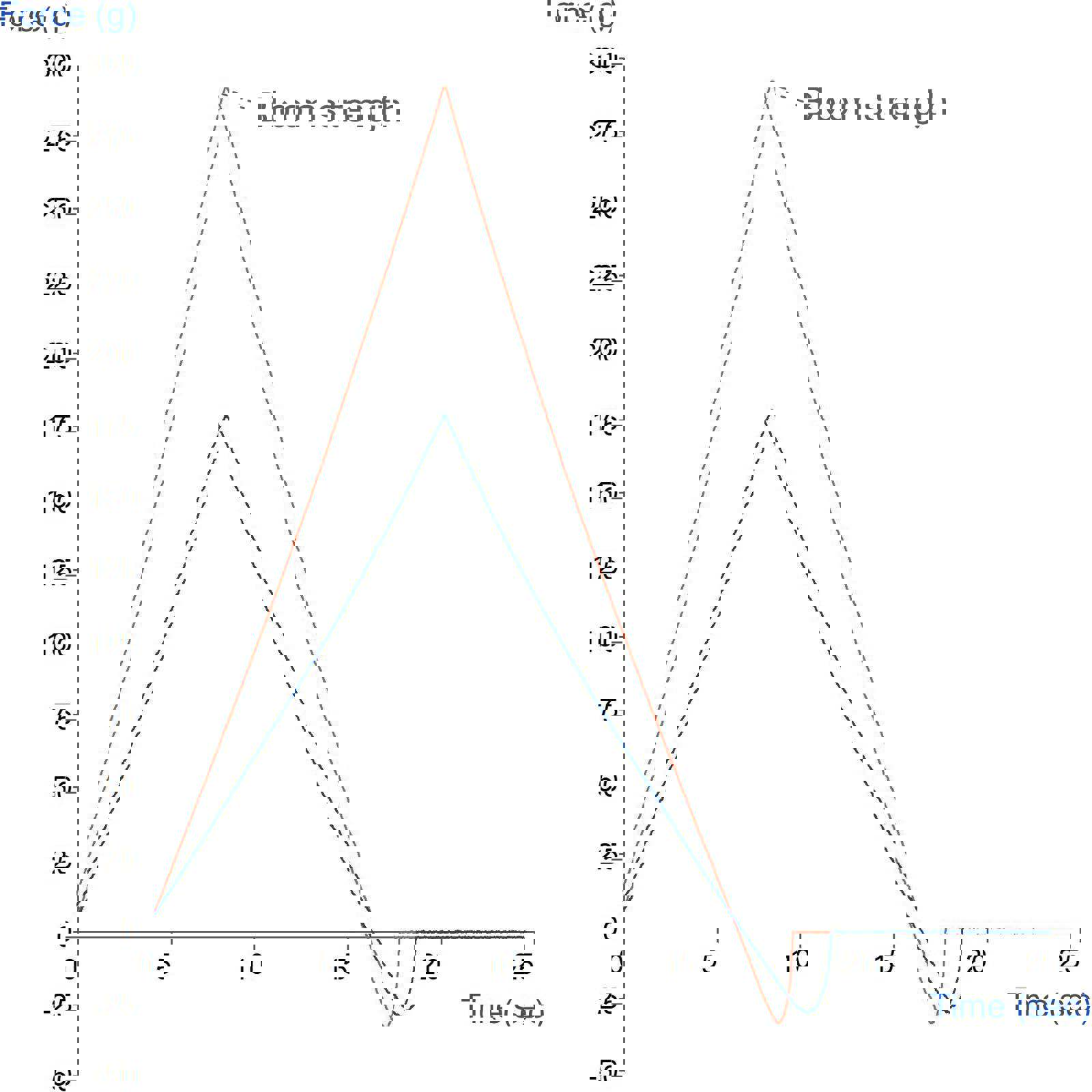
Typical graphs

Typical Texture Analyser graph comparing bloom strengths of two gels
Typical Texture Analyser graph comparing bloom strengths of two gels
Typical Texture Analyser graph of gel penetration test to failure
Typical Texture Analyser graph of gel penetration test to failure

How to interpret the Texture Analyser graph

Typical curve indicating key analysis points of a bloom test Typical curve indicating key analysis points of a bloom test

Penetration test – Bloom

When measuring bloom strength, the force vs distance/time graph typically shows a peak in a force representing the amount of force needed to penetrate to 4mm within the gel. From the graph you can observe/obtain the following:

  • Gel strength
  • Bloom strength
  • Force to rupture
  • Elasticity
Typical curve indicating key analysis points of a gel penetration test to failure Typical curve indicating key analysis points of a gel penetration test to failure

Penetration test to failure

When measuring gel strength in this way the penetration distance is set to a higher value (such as to cause failure). The force vs distance/time graph typically shows an obvious peak when the gel fails.

Typical curve indicating key analysis points of a gel compression test to failure Typical curve indicating key analysis points of a gel compression test to failure

Compression test to failure

A full explanation of these curves and their analysis can be accessed within Exponent Connect software. Existing Exponent users can upgrade to Exponent Connect specification.

Below is a video example of how we can help you understand curve analysis for an example property. 

Typical animation explaining all parts of an chewiness/bite force curve (contained in Exponent Connect software for all properties)

Key factors affecting gel strength measurement

  • Temperature: Temperature significantly influences gel strength measurements, as it can affect the molecular structure and interactions within the gel, potentially altering its mechanical properties. Gels are typically stronger at lower temperatures, as the molecular structure is more rigid and stable. Higher temperatures can cause gels to soften and lose strength, leading to lower peak forces on the graph and easier deformation.
  • Sample preparation: Consistent and precise sample preparation methods are crucial for reproducible gel strength measurements, as variations in mixing, heating, or cooling processes can lead to differences in gel formation.
  • Probe geometry: Different diameter cylinder probes may be used depending on the gel type and application. Radiused and non-radiused perimeters are also available depending upon the requirement of the standard method.  Radiused probes avoid the ‘cutting’ of the sample around the probe perimeter at small deformations.
  • Resting time: The duration allowed for the gel to set or stabilize before testing can affect its strength, as some gels continue to develop structure over time.
  • Type of gelling agent: Different gelling agents result in different gel strengths. For example, gelatine typically produces softer, more elastic gels, while agar and pectin can form stronger, more rigid gels.

Optimising gel strength measurement and analysis: The Stable Micro Systems advantage

The Stable Micro Systems Texture Analyser stands out in optimising gel strength measurements through its comprehensive approach and specialised features. Equipped with industry standard cylinder probes for GMIA and ISO methods, it precisely quantifies multiple gel properties including bloom strength, rupture force, and elasticity in a single test and is officially recommended by key industry associations.

The Texture Analyser’s high precision, with force resolution of 0.1g and distance resolution of 0.001mm, ensures accurate results. Exponent Connect software captures detailed force-time-distance profiles for in-depth analysis, while Stable Micro Systems' expertise in method development and data interpretation, makes it the ideal choice for industries seeking to refine product formulations and maintain quality standards in gel strength testing.

Widest Range Of Probes, Attachments And Accessories
Widest range of probes, attachments and accessories

A choice of industry standard testing probes.

World Class Data Analysis Software
World class data analysis software

Comprehensive analysis of graph features offering detailed force-time-distance profiles.

Expanded Testing Possibilities
Expanded testing possibilities

Ability to additionally capture synchronised video for better understanding of product behaviour.

Macro Icon
Customisable test parameters

Adjust settings to match specific product requirements or use industry standard protocols.

Test Advice Service Icon
Test advice

If you need help with your gel property measurements, we offer unrivalled support.

Unrivalled Inbuilt Test Advice Library
Unrivalled inbuilt test advice library

Be guided through the steps to successful testing and analysis of gel strength.

See all properties that can be measured

Contents

  • Gel strength: definition and importance
  • Further example applications of gel strength testing
  • Typical probe/attachment used for measurement
  • Typical graphs
  • How to interpret the Texture Analyser graph
  • Key factors affecting gel strength measurement
  • Optimising gel strength measurement and analysis: The Stable Micro Systems advantage

Learn more about measuring gel strength

Request a demonstration
Read published papers measuring this property
Request a probes and attachments brochure
Home
  • Contact
  • Send us an enquiry
  • Request a quote
  • Request a demonstration
  • Find a distributor
Head office

+44 (0) 1483 427345
Vienna Court, Lammas Road
Godalming, Surrey, GU7 1YL
United Kingdom

Subscribe to our newsletter
  • LinkedIn
  • YouTube
  • X (formerly Twitter)
  • Facebook
Copyright © 2026 Stable Micro Systems. All rights reserved. Privacy and cookie policy Sitemap